当前位置:首页 > 考研资讯 > 高频问答
日期:2024/10/28
来源:阅读量:513
英语
1.写作中,如何准确运用词汇?
答:写作中,对单词的精准应用包括以下两点:
1. 你对这个单词的用法了如指掌;
2. 你在该词的适用场景下能够想起它。
那么如何做到,有以下几个步骤:
1. 使用英英词典,使用英英词典最主要的作用有三个:搭配、例句以及使用语境。
2. 对同义词进行辨析
3. 使用语料库+工具
http://corpus.byu.edu/coca/
复习建议:写作中,精准用词至关重要,希望同学们在写作时,学会多查词典+例句,提高自己的用词精确度。
2.But the force of geographic conditions peculiar to America, the interplay of the varied national groups upon one another, and the sheer difficulty of maintaining old-world ways in a raw, new continent caused significant changes. 这句话句子结构什么?
答:这是一个简单句,但是主语特别的长,有三个短句作为主语。
the force of geographic conditions peculiar to American,美国所特有的地理条件的力量;
the interplay of the varied national groups upon one another,各民族之间的相互作用;
the sheer difficulty of maintaining old-world ways in a raw,new continent.在原始的美国保持就世界的方式的纯粹的困境;
caused significant changes造成了(美国)重要的改变。
复习建议:这句话其实句子结构比较简单,但是两个形容词raw和new中间有个逗号,容易对同学们理解造成困难,希望同学们多关注标点符号,这样有助于大家进行断句。
政治
1.预见未来社会的方法论原则:立足于揭示未来社会的一般特征,而不对各种细节作具体描绘?
答:马克思、恩格斯在展望未来社会时,总是只限于指出未来社会发展的方向,原则和基本特征,而把具体情形留给后来的实践去回答。
复习建议:这个考点比较少考,但是它是会出干扰项的,一般会设置对各种细节作具体描述,这个是没具体描述的。
2.剩余价值率是反映资本家对工人剥削程度的根本标准?
答:正确。因为剩余价值率是剩余价值和可变资本之间的比率。
复习建议:有时候知识点单拿出来就会知道对错,放在选项就考验对知识点的灵活理解。
数学
1.
![]()
答:

复习建议:存在这样的a很好实现,但对于任意a都成立,就需要转换思维,将这样的a视为自变量来处理。
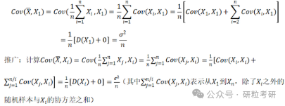
2.

答:

复习建议:计算这样抽象且大量的数值,需要有抽象化思维和较强的逻辑思维。